Haematology
Modified 1 Day ago.
Modified 2 Days ago.
Urgent Suspected Cancer
Modified 9 Days ago.
Dermatology
Ophthalmology
Modified 15 Days ago.
Rheumatology
Neurology
Respiratory
Gastroenterology & Hepatology
Paediatrics
Modified 22 Days ago.
End of Life Care
Showing 1 to 15 of 65 entries.
Gluten-free (GF) products
Gamete harvesting and storage (Cryopreservation)
Microsuction of the external auditory canal
Modified 29 Days ago.
Irrigation of the external auditory canal (not routinely commissioned)
Surveillance colonoscopy for patients with hereditary increased risk of colorectal cancer
Modified 1 Month ago.
Surveillance colonoscopy for patients after colorectal cancer resection or after colonic polypectomy
Needle biopsy of prostate in patients with suspected prostate cancer
Mitomycin C bladder instillation following trans-urethral resection of bladder tumour (TURBT)
Continuous glucose monitoring
Biological and bioequivalent/biosimilar medicines
Health optimisation
Varicose vein interventions
Vasectomy
Surgical intervention for bladder outflow obstruction (BOO)
Reversal of sterilisation (not routinely commissioned)
Showing 1 to 15 of 118 entries.
Suspected sarcoma-soft tissue / sarcoma-bone
Palliative and end of life care
Vitamin B12 deficiency
Suspected myeloma
Thrombocytosis
Thrombocytopenia
Splenomegaly
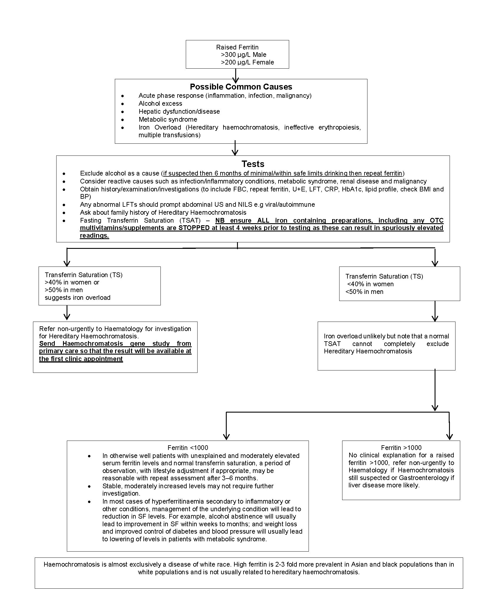
Raised ferritin
Polycythaemia
Macrocrocytosis +/- anaemia
Normocytic anaemia
Neutrophilia
Neutropenia
Microcytic anaemia
Lymphocytosis
Showing 1 to 15 of 71 entries.
Raised Ferritin flowchart
Raised Ferritin flowchart.png